Skip to content

LaTeX

Zulip supports math typesetting powered by KaTeX. Their support table is a helpful resource for checking what’s supported or how to express something.

Zulip’s compose box has a smart Math (LaTeX) () button, which inserts contextually appropriate LaTeX formatting:

  • If no text is selected, the button inserts displayed LaTeX (```math) formatting.
  • If selected text is on one line, the button inserts inline LaTeX ($$) formatting.
  • If selected text is on multiple lines, the button inserts displayed LaTeX (```math) formatting.
  1. Open the compose box.
  2. (optional) Select the text you want to format.
  3. Click the Math (LaTeX) () icon at the bottom of the compose box to insert LaTeX formatting.

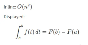
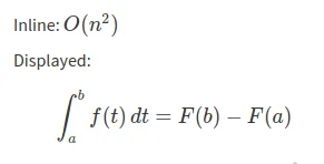
What you type

Inline: $$O(n^2)$$
Displayed:
``` math
\int_a^b f(t)\, dt = F(b) - F(a)
```

What it looks like

Markdown LaTeX

Zulip supports quoting, forwarding, or copying math expressions, and pasting them into the compose box.

You can copy LaTeX from many third-party sites that use KaTeX, and paste it into Zulip.

This feature is powered by KaTeX’s MathML annotations, which embed the original LaTeX source in the HTML for a math expression. For it to work, the website needs to:

  • Generate math expressions using KaTeX in the default htmlAndMathml output mode.
  • Allow MathML annotations to be included in HTML copied by the browser (for Zulip, this was a couple lines of CSS).